时间:2024-04-10 08:46:48 点击数:
导读
针对矿用罐道钢丝绳张力及刚性系数现场测量难题,依据振动波周期法理论,研制了一种矿井罐道绳用张力测试设备。该设备利用电子技术,将固定点的加速度振动波形转换成可视波形,根据其波形峰值差自动计算周期,有效降低了人工测试时间产生的系统误差。在郑煤集团多个矿井现场进行试验,通过分析罐道绳张力测试结果,验证了该张力测试设备的可靠性和可实施性。
罐道钢丝绳作为矿井提升的重要部件,可防止提升容器非正常摆动或转动,保障其平稳运行,但在柔性罐道绳约束下的提升容器容易产生横向偏摆。罐道绳张力偏小、偏大或者不均,都会给矿井安全生产带来严重隐患。《煤矿安全规程》第三百九十八条明确规定:“每个提升容器 (平衡锤)有 4 根罐道绳时,每根罐道绳的zui 小刚性系数不得小于 500 N/m,各罐道绳张紧力之差不得小于平均张紧力的 5%,内侧张紧力大,外侧张紧力小。每个提升容器 (平衡锤) 有 2 根罐道绳时,每根罐道绳的刚性系数不得小于 1 000 N/m,各罐道绳的张紧力应当相等”。目前,罐道绳张力的检测与调整,已经成为煤矿提升技术管理工作中的一项重要内容。但罐道绳安装后,缺少罐道绳张力检测手段,无法准确测量、表征各罐道绳的张力,可能造成罐道绳张力偏大、偏小或不均匀等情况。如何测试罐道绳张力,为煤矿安全生产提供科学数据和技术支撑,是行业迫切需要解决的难题。
关于罐道绳张力测试,目前理论研究分为 3 种:竖向张紧法、横向张拉法和振动波周期法。前两者虽然理论简单,但受现场环境和安全要求的制约,可实施性差,一直没有推广使用。第 3 种理论自研究以来,一直没有实现从理论到产品的成熟应用转化,没有研制出成熟的测试设备,实际生产中鲜有应用。罐道绳长期在重载及湿润的环境下运行,需要进行定期检测与维护。本研究依据振动波周期法研制了一款矿井罐道绳张力测试设备,通过在郑煤集团多个矿井现场试验,验证了设备的可靠性和可实施性。根据测试结果,可及时调整不满足《煤矿安全规程》要求的罐道绳张力,为罐道绳的安全运行提供了科学数据,也为罐道绳张力的科学定量测试提供了一种新的途径和思路。
1 基于振动波周期法的理论研究
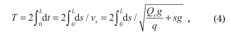
振动波周期法是依据振动波在钢丝绳上的传递速度和钢丝绳张力的关系,通过速度传感器测量钢丝绳振动波周期,得到传递速度,进而计算出钢丝绳张力。
1.1 罐道绳拉力的测量
在井口附近位置,对罐道绳某一点施加一垂直冲击力,使罐道绳产生横向振动。振动波在钢丝绳上的传递速度与钢丝绳所受张力的关系如下:





